Критерий Келли в ставках на спорт: что это такое и как его использовать
Суть стратегии игры на ставках под названием «Критерий Келли» заключается в определении размера каждой следующей ставки для более разумного управления своим игровым банком (банкроллом). Считается, что этот метод позволяет защитить весь банкролл от проигрыша, так как он не предусматривает фиксированного размера ставки: игрок самостоятельно оценивает вероятность события, на которое он планирует поставить, и, исходя из этого, высчитывает оптимальный размер ставки по специальной формуле.

Когда использовать критерий Келли в ставках?
Критерий Келли больше подходит для тех, кто уже имеет определенный опыт игры в букмекерских конторах, так как успешность этой стратегии определяется, в первую очередь, умением игрока самостоятельно определять вероятность того или иного события.
По сути, стратегию можно считать неким соревнованием между игроком и букмекером, так как в выигрыше остается тот, кто более правильно определил вероятность события.
Критерий Келли считается улучшенной копией Value Betting, и использовать его стоит в случаях, когда букмекер недооценил вероятность события и, соответственно, выставил на него завышенный коэффициент. В среде клиентов букмекерских контор такое событие называется value — «валуй».
К недостаткам критерия Келли можно отнести вероятность неправильной самостоятельной оценки события игроком. Так, если игрок переоценил эту вероятность, он останется в проигрыше. Если же он ее недооценил, это приведет к меньшему размеру выигрыша.
Как играть по критерию Келли: формула расчета и примеры
Формула критерия Келли позволяет рассчитать оптимальный размер ставки на конкретное событие. Повторимся: этот размер будет оптимальным в том случае, если букмекер недооценил вероятность события, а игрок оценил его правильно.
Допустим, «Барселона» встречается с «Севильей», и коэффициент на победу «сине-гранатовых» равен 1.40. Чтобы понять, какой процент вероятности победы «Барсы» букмекер считает правильным, считаем по вышеприведенной формуле: 100% ÷ 1.40 = 71,4%. То есть букмекер считает, что «Барселона» победит с вероятностью 71%.
Игрок же, желающий заключить пари, считает, что вероятность успеха «Барсы» равна 60%. Таким образом, предложенная котировка не является завышенной (not value), потому как вероятность исхода, по мнению игрока, ниже, чем предложенный букмекером коэффициент. Такую ставку для игры по критерию Келли брать не сто́ит.
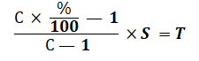
Для того чтобы правильно рассчитать оптимальный размер ставки по критерию Келли, используем следующую формулу:

C — коэффициент, предложенный букмекером
% — процент вероятности события по оценке игрока
S — размер банкролла
T — необходимый размер ставки
Рассмотрим на примере.
«Манчестер Юнайтед» на «Олд Траффорд» принимает «Тоттенхэм». На успех «красных дьяволов» букмекер дает коэффициент 2.85, следовательно, оценивает возможную победу МЮ в 35%. Беттер же склонен предполагать, что вероятность этого события — 50% (value). Осталось рассчитать сумму ставки, которую следует сделать на это событие, используя вышеописанную формулу. Допустим, размер нашего банкролла — 1000 у. е.
Исходные данные для постановки в формулу:
2.85 — коэффициент, предложенный букмекером
50 — процент вероятности по мнению игрока
1000 — размер банка
T — сумма ставки, которую необходимо вычислить.

Исходя из расчетов, видим, что тут нам нужно поставить 22,9% от общего размера банкролла.
Подытоживая все вышесказанное, снова напомним, что эта стратегия игры на ставках больше подходит для опытных игроков, так как самостоятельно определить вероятность того или иного события без помощи линии коэффициентов всегда непросто.